色漫网

教学科研岗

朱哲明

姓名:朱哲明

性别:男

出生年月:1965-10

学位:博士(加拿大)

职称:教授/博士生导师(力学、土木工程)

联系电话:

电子邮箱:[email protected](常用)/[email protected]

传真:

通讯地址:色漫网 江安校区色漫网 大楼B204

邮编:610065

个人描述

四川省学术与技术带头人

连续8年入选ELSEVIER“中国高被引学者”榜单

入选2020全球前2%顶尖科学家“生涯影响力”榜单

入选2020全球前2%顶尖科学家“年度影响力”榜单

色漫网 “卓越教学奖”

发表SCI论文等400余篇,其中两篇论文在《国际石力学与采矿工程》期刊中为Most Cited Paper,近年来主持国家自然科学基金、国家重点研发计划子课题、四川省国际合作项目等项目13项;出版学术著作2部,申请/授权发明专利30余项,获省部级科技进步一等奖2项、二等奖1项。从教三十余年,课程深受学生好评,出版国内首本计算力学全英文教材,并被评为色漫网 精品立项教材。曾获四川省科技进步一等奖、色漫网 优秀教师、教学质量优秀奖、优秀毕业论文指导奖等多项奖励。

学习及工作经历

2005年-至今 色漫网 工程力学系 教授/博导

2002年-2005年 加拿大Toronto大学 博士后

1998年-2002年 加拿大McGill大学采矿、冶金及材料工程系博士

1996年-1998年 加拿大Montreal大学研究工作(Research Associate) 地质工程系

1988年-1994年 辽宁工程技术大学 讲师

1986年-1988年 辽宁工程技术大学 硕士

1982年-1988年 辽宁工程技术大学 本科

主要研究领域

研究方:岩石断裂力学、冲击波与爆炸力学、混凝土材料、计算力学(新型数值技术开发与应用)、隧道及岩土结构稳定、石油及页岩气开采中的水力致裂问题

主要的研究成果及对科学研究所做的贡献:

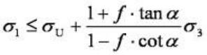
1、提出了带裂隙脆性材料在压缩载荷下的破坏准则,即:

其中f是裂纹表面摩擦系数,α是裂纹倾角,σU是含裂纹材料的单轴抗压强度,σ1和σ3是主应力。经简化该准则可转化为最大剪应力准则,在无裂隙时该准则转化为著名的库伦摩尔准则;

2、首次成功将AUTODYN软件开发应用于岩石动态破坏的数值模拟研究中,成功模拟了岩石、混凝土等脆性材料的动态破坏过程,给出了其破坏机理。在该方面发表的论文多次被引用,其中两篇论文在国际岩石力学期刊中为Most Cited Paper;

3、给出了地球上部岩体中应力大小的范围,并成功解释了如下地球物理现象:即在地壳表面附近,水平应力与垂直应力比值 (σHV)分布在一个较广范围内,但在深部区域,却分布在竖直线σHV=1周围一个狭小范围内。

4、成功地利用数值模拟方法给出了岩体开挖后出现分区破裂化的机理,及出现的条件。岩体开挖后出现分区破裂化现象是困扰地下岩体工程界多年的重大难题。

5、提出了新的任意四边形的有限差分法。

6、提出了岩石等脆性材料在爆炸载荷下动态断裂韧度测试新方法。

7、研发了一种耐高温/高冲击韧性的新型高性能纤维混凝土材料。

8、开发了自主知识产权的、适用于超大变形和大规模计算的计算程序-MPAS。

承担的主要课程

《高等数值分析》、《非线性数值计算》、《高等计算力学》、《高等岩石力学》、《岩石动态数值模拟》、《岩石断裂与损伤力学》、《冲击波与爆炸力学》《计算力学》、《工程中的数理方法》、《工程中的计算方法》

主持或参与的科研项目

近五年主持的课题:

1.国家自然科学基金(面上);深部裂隙岩体爆破应力波传播及诱发围岩裂纹起裂机制;2023.01-2026.12;主持

2.国家自然科学基金(区域重点项目-子课题);深地岩石动力学及深地工程安全;2020.01-2023.12;主持

3.国家自然科学基金(面上);动态裂纹起裂、扩展及止裂全过程及其测试新技术研究;2017.01-2020.12;主持

4.国家自然科学基金(面上);动载荷反复作用下节理裂隙岩体的动力学响应;2011.01-2013.12;主持

5.四川省科技厅(省院省校重点);动荷载下裂纹扩展规律及其I/II复合型断裂韧度测试新方法研究;20018.01-2019.12;主持

6.四川省科技厅;地震波或冲击波作用下裂隙岩体动态响应特征;2014.03-2016.02;主持

7.四川省科技厅;带裂隙岩体在压缩载荷作用下的稳定性研究;2008.01-2009.12;主持

8.四川省安全监管局安全生产科技项目;巷道掘进裂隙、缺陷动态扩展控制技术研究;2017-2019;主持

9.教育部重点实验室开放基金;裂纹动态扩展规律及其断裂韧度测试新技术研究;2018.06-2020.05;主持

10.四川省重点实验室开放基金;冲击荷载下岩石内裂纹动态扩展规律及其动态断裂韧度测试新方法研究;2018-2020;主持

11.深部页岩体的静动态本构关系研究(2012LF1009)主持

12.带裂隙岩体在压缩载荷作用下的破坏强度准则(2008890)主持

13.深部岩体的工程特性研究的子项目——深部岩体裂隙扩展理论及数值分析(50639100-01)主持

14.节理裂隙岩体在爆炸载荷作用下的稳定性研究(2010SCU21020)主持

15.地震波或冲击波作用下裂隙岩体动态响应特征(2014JY0002)主持

代表性论著

1.Duanying Wan, Meng Wang*,Zheming Zhu*, Fei Wang, Lei Zhou, Ruifeng Liu, Weiting Gao, Yun Shu, Hu Xiao. Coupled GIMP and CPDI material point method in modelling blast-induced three-dimensional rock fracture.International Journal of Mining Science and Technology,//doi.org/10.1016/j.ijmst.2022.08.012.

2.YunShu,ZhemingZhu,MengWang,FeiWang,LiRen,YaojiaLi. A modified JH2 model with improved strength model, damage evolution, and equation of state for rock under impact and blasting loads. Mechanics of Materials, 2022: 104454.

3.YunShu,ZhemingZhu,MengWang,PengYing,FeiWang,DuanyingWan,XiaohanLi,WeitingGao.A plastic damage constitutive model for rock-like material focusing on the hydrostatic pressure induced damage and the interaction of tensile and shear damages under impact and blast loads. Computers and Geotechnics, 2022, 150: 104921.

4.Yuqing Dong,Zheming Zhu*, Liyuan Yu, Lei Zhou*, Yuanfeng Jiang, Renfan Zhang. Investigation of dynamic fracture in VASCT samples under the effect ofdifferent loading modes. Theoretical and Applied Fracture Mechanics,2022,119:103321.

5.Lei Zhou, Leijun Ma,Zheming Zhu*, Yuqing Dong, Jianwei Huang, Shenghua Cui. Study of the coupling effect of elliptical cavities and cracks on tunnel stability under dynamic loads. Theoretical and Applied Fracture Mechanics, 2022,121: 103502.

6.Lei Zhou, Weiting Gao, Liyuan Yu,Zheming Zhu*, Jianxing Chen, Xingkai Wang. Thermal effects on fracture toughness of cracked straight-through Brazilian disk green sandstone and granite, Journal of Rock Mechanics and Geotechnical Engineering.2022,14(5):1447-1460.

7.Yong Fan,Zheming Zhu*, Yanlin Zhao, Lei Zhou, Hao Qiu, Caoyuan Niu,Analytical solution of T-stresses for an inclined crack in compression,International Journal of Rock Mechanics and Mining Sciences,Volume 138,2021,104433.(SCI, TOP,通讯).

8.Duanying Wan,Zheming Zhu*, Ruifeng Liu, Bang Liu, Jianfei Li,Measuring method of dynamic fracture toughness of mode I crack under blasting using a rectangle specimen with a crack and edge notches, International Journal of Rock Mechanics and Mining Sciences,Volume 123,2019,104104.(SCI, TOP,通讯).

9.Hao Qiu,Zheming Zhu*, Meng Wang, Fei Wang, Caisong Luo, Duanying Wan,Study of the failure properties and tensile strength of rock-mortar interface transition zone using bi-material Brazilian discs,Construction and Building Materials,Volume 236,2020,117551.(SCI, TOP,通讯).

10.Xiaohan Li,Zheming Zhu*, Meng Wang*, Yun Shu, Shuai Deng, Dingjun Xiao,Influence of blasting load directions on tunnel stability in fractured rock mass,Journal of Rock Mechanics and Geotechnical Engineering,2021.(SCI, TOP,共同通讯).

11.Xiaohan Li,Zheming Zhu*, Meng Wang*, Dingjun Xiao, Yun Shu, Shuai Deng,Fracture mechanism of rock around a tunnel-shaped cavity with interconnected cracks under blasting stress waves,International Journal of Impact Engineering,Volume 157,2021,103999.(SCI, TOP,共同通讯).

12.Hao Qiu, Fei Wang,Zheming Zhu*, Meng Wang*, Demei Yu, Caisong Luo, Duanyin Wan,Study on dynamic fracture behaviour and fracture toughness in rock-mortar interface under impact load,Composite Structures,Volume 271,2021,114174.(SCI, TOP,共同通讯).

13.Changlin Zhou,Zheming Zhu, Aijun Zhu, Lei Zhou, Yong Fan, Lin Lang,Deterioration of mode II fracture toughness, compressive strength and elastic modulus of concrete under the environment of acid rain and cyclic wetting-drying, Construction and Building Materials,Volume 228,2019.(SCI, TOP,通讯).

14.Lin Lang, Zheming Zhu, Xianshang Zhang, Hao Qiu, Changlin Zhou.Investigation of crack dynamic parameters and crack arresting technique in concrete under impacts.Construction and Building Materials,Volume 199,2019,321-334.(SCI, TOP,通讯).

15.Yuqing Dong,Zheming Zhu, Li Ren, Lei Zhou, Peng Ying, Meng Wang,Crack dynamic propagation properties and arrest mechanism under impact loading,Journal of Rock Mechanics and Geotechnical Engineering,Volume 12, Issue 6,2020,1171-1184.(SCI, TOP,共同通讯).

16.Lei Zhou,Zheming Zhu*, Yuqing Dong, Yong Fan, Qin Zhou, Shuai Deng. The influence of impacting orientations on the failure modes of cracked tunnel[J]. International Journal of Impact Engineering, 2019,125:134-142.(SCI, TOP,通讯).

17.Lei Zhou,Zheming Zhu*, Yuqing Dong, Peng Ying, Meng Wang. Study of the fracture behavior of mode I and mixed mode I / II cracks in tunnel under impact loads[J]. Tunnelling and Underground Space Technology, 2019,84:11-21.(SCI, TOP,通讯).

18.Lei Zhou,Zheming Zhu*, Hao Qiu, Xianshang Zhang, Lin Lang. Study of the effect of loading rates on crack propagation velocity and rock fracture toughness using cracked tunnel specimens. International Journal of Rock Mechanics and Mining Sciences, 2018,112:25-34.(SCI, TOP,通讯).

19.Changlin Zhou,Zheming Zhu*, Zhihong Wang, Hao Qiu. Deterioration of concrete fracture toughness and elastic modulus under simulated acid-sulfate environment [J]. Construction and Building Materials, 2018, 176: 490-499.(SCI, TOP,通讯).

20.Meng Li,Zheming Zhu*, Ruifeng Liu, Bang Liu, Lei Zhou, Yuqing Dong. Study of the effect of empty holes on propagating cracks under blasting loads [J]. International Journal of Rock Mechanics and Mining Sciences.2018, 103:186-194.(SCI, TOP,通讯).

21.Peng Ying,Zheming Zhu*, Fei Wang, Meng Wang*, Caoyuan Niu, Lei Zhou,The characteristics of dynamic fracture toughness and energy release rate of rock under impact,Measurement,2019,147:106884.

22.Hao Qiu,Zheming Zhu*, Fei Wang, Meng Wang*, Changlin Zhou, Caisong Luo, Xingyu Wang, Hongyun Mao,Dynamic behavior of a running crack crossing mortar-rock interface under impacting load, Engineering Fracture Mechanics,2020:240:107202.

23.Hao Qiu,Zheming Zhu*, Meng Wang, Fei Wang, Yongchao Ma, Lin Lang, Peng Ying,Study on crack dynamic propagation behavior and fracture toughness in rock-mortar interface of concrete, Engineering Fracture Mechanics,2020,:228:106798.

24.Peng Ying,Zheming Zhu*, Li Ren*, Shuai Deng, Caoyuan Niu, Duanying Wan, Fei Wang,Deterioration of dynamic fracture characteristics, tensile strength and elastic modulus of tight sandstone under dry-wet cycles,Theoretical and Applied Fracture Mechanics,2020,109:102698.

25.Lin Lang,Zheming Zhu*, Shuai Deng, Lei Wang, Chaoyuan Niu, Dingjun Xiao,Study on the arresting mechanism of two arrest-holes on moving crack in brittle material under impacts,Engineering Fracture Mechanics,Volume 229,2020,229:106936.

26.Xianshang Zhang,Zheming Zhu*, Guangcai Wen, Lin Lang, Meng Wang*,Study on gas desorption and diffusion kinetic behavior in coal matrix using a modified shrinking core model,Journal of Petroleum Science and Engineering,2021,204:108701.

期刊编委

1.《岩石力学与工程学报》编委;

2.《Journal of Rock Mechanics and Geotechnical Engineering》 客座编辑(Guest Editor);

学术兼职

国内外20余种期刊论文评阅人

四川省力学学会理事

获奖与专利

获奖:

1.四川省科技进步一等奖(2项)

2.四川省科技进步二等奖

3.色漫网 优秀教师

4.色漫网 “立德树人奖”

5.色漫网 “卓越教学奖”

6.色漫网 教学质量优秀奖

7.色漫网 优秀毕业论文指导奖

专利:

[1]王蒙,李萧翰,朱哲明,万端莹,应鹏.常态混凝土浇注隧道衬砌台车皮带输送机皮带清洗装置[P].四川省:CN112875144B,2021-07-20.

[2]王蒙,万端莹,朱哲明,李萧翰,周磊.用于隧道中的轨道式运渣装置[P].四川省:CN112918497B,2021-07-16.

[3]王蒙,李萧翰,朱哲明,万端莹,应鹏.常态混凝土浇注隧道衬砌台车皮带输送机皮带清洗装置[P].四川省:CN112875144A,2021-06-01.

[4]艾婷,朱哲明,兰中仁,郑良娟,张安林,肖坤,楼晨笛,查尔晟.一种冲击动力实验装置[P].四川省:CN213239787U,2021-05-18.

[5]朱哲明,周磊,董玉清,应鹏,万端莹,邓帅,王兴渝.一种用于实现中低速冲击加载的落锤冲击试验装置[P].四川省:CN112649312A,2021-04-13.

[6]周磊,朱哲明,王蒙,应鹏,董玉清.一种用于评价含裂纹巷道围岩动态稳定性的新构型[P].四川省:CN112630060A,2021-04-09.

[7]王蒙,万端莹,朱哲明,李萧翰,舒赟,应鹏.显式动力学地应力初始化方法、系统、介质、计算机设备[P].四川省:CN112446151A,2021-03-05.

[8]张宪尚,朱哲明,王蒙,邱豪,刘瑞峰,范勇,郎林,万端莹.煤破裂过程中瓦斯瞬间解吸量测定实验系统及方法[P].四川省:CN109507388A,2019-03-22.

[9]张宪尚,朱哲明,王蒙.一种智能公交系统[P].四川省:CN109166304A,2019-01-08.

[10]朱哲明,刘瑞峰,王蒙,李盟,刘邦.一种I型裂纹在爆炸荷载下动态断裂全过程参数的测试方法[P].四川:CN108844835A,2018-11-20.

[11]朱哲明,汪小梦,王蒙,周磊,应鹏.一种中低速冲击载荷下I型裂纹动态止裂韧度测试方法[P].四川:CN108507887A,2018-09-07.

[13]王蒙,朱哲明.一种冲击载荷下I型裂纹动态止裂韧度测试方法[P].四川:CN106290012A,2017-01-04.

[14]朱哲明,徐文涛,肖定军.一种爆炸载荷下I型裂纹动态断裂韧度测试方法[P].四川:CN104359776A,2015-02-18.

[15]朱哲明,动载荷反复作用下节理裂隙岩体的动力学响应.四川省,色漫网 ,2014-01-20.

[16]朱哲明,唐昊.一种含裂纹的混凝土试件预置模板[P].四川:CN202886159U,2013-04-17.

性别 出生年月 1965-10
学位 博士(加拿大) 职称 教授/博士生导师(力学、土木工程)
联系电话 电子邮箱 [email protected](常用)/[email protected]
传真 通讯地址 色漫网 江安校区色漫网 大楼B204
邮编 610065
TOP